Lester circle:

Introduction

Constructions

The Circle

Point Order

Mathematics

Bibliography


 

The mathematics behind the theorem

The material below is a brief outline of the mathematics used to discover and prove that the four points lie on a circle. It's by no means a complete description, but is meant only to give a small taste of the "flavour" of the mathematics. Full details can be found in the original papers, listed in the bibliography.

 

You'll need to know what a complex number is to understand the definitions and some of the fundamental facts and ideas behind the proof.

 

 Background

The idea behind using complex numbers in Euclidean geometry is to choose some rectangular coordinate system in the plane and then make every point (x, y) into a complex number:

.

Instead of two coordinates for every point, a single complex number now represents every point.

Two basic tools help with calculations involving these points.

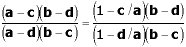
The first tool is a special combination of numbers (points): the cross ratio of any four distinct points a, b, c and d in the plane is the complex number

.

The order of the points is important - rearranging the points may give a different cross ratio - but given the cross ratio for one order, the cross ratio for any rearrangement is easy to find. Cross ratios are extremely useful in geometric proofs; for example, the cross ratio of four points is real if and only if the points lie on a line or on a circle. The order of the points along that line or circle can then be determined from this real number.

The second tool is a "pretend" point added to the plane; the point at infinity, or antipode. Think of it as being infinitely far away from any other point - what happens to z when x and y get infinite. To see how the point at infinity works in cross ratios, suppose the first number a in the cross ratio definition is very big. Divide the first term top and bottom by a:

.

The larger a is, the smaller c/a and d/a are and the closer those two terms are to 1. So for "infinite" a, it makes sense to define

.

This version of the cross ratio is very useful too: it turns out that three points lie on a line if and only if their cross ratio with the point at infinity is real. Another useful way of looking at it: think of lines as being circles through the point at infinity.

(You can learn more about cross ratios and the point at infinity from various books on complex numbers, for example

  • I. M. Yaglom, Complex Numbers in Geometry, Academic Press, New York, 1968.
  • H. Schwerdtfeger, Geometry of Complex Numbers, University of Toronto Press, Toronto, 1962.)

 

 Shapes

Three distinct points a, b and c in the plane determine a triangle (it will be degenerate if the points lie on a line). The shape of this triangle is the complex number

.

The important thing about shapes is that two triangles are similar if and only if they have the same shape. This means that proofs of theorems about similar triangles can sometimes be reduced to calculating their shapes. It also means that the numerical values of the angles of a triangle and ratios of the lengths of its sides can all be extracted from its shape.

 

 Triangle coordinates

To look at the geometry of points relative to a given, fixed triangle, it helps to have a coordinate system adapted to that triangle. The triangle coordinate of any point p with respect to the triangle with vertices a, b and c is the number

.

Triangle coordinates of points related to the geometry of the triangle tend to be simpler than arbitrary complex coordinates in the plane. What makes triangle coordinates most useful is that the cross ratio of any four points equals the cross ratio of their triangle coordinates:

for any four points p, q, r and s. This means that any geometry we can describe through cross ratios of points can also be described through cross ratios of their triangle coordinates.

 

 Triangle functions

"Special" points of a triangle are points like the circumcentre, the nine-point centre, etc. - basically, points that are defined in terms of the geometry of the triangle. Triangle functions relate the triangle coordinate of any special point to the shape of the triangle: every special point s of a triangle has a corresponding triangle function S such that the triangle coordinate of s with respect to any triangle of shape is

.

For example, the triangle function of the nine-point centre is

(overbars denote conjugates).

Essentially, a triangle function"embeds" the definition/construction of the special point inside a single function. Since triangle functions are the triangle coordinates of special points, it follows that to prove that four special points always lie on a circle or on a line, it is enough to prove that the cross ratio of their triangle functions is identically real.

 

 How the theorem was discovered

I discovered the theorem by searching through a large number of special triangle points for quadruples of points which lie on a circle.

  • First, I needed a database of special points and their coordinates; I got it from Clark Kimberling's list of triangle centres (now expanded and online). Clark uses trilinear coordinates, so I had to figure out how to convert trilinear coordinates into complex triangle coordinates.
  • I next input everything - points, conversion formulas, cross ratio formulas - into an easy-to-use computer math program, Theorist (which has since evolved into LiveMath).
  • Then I input a single numerical shape and set a search going for quadruples of special points with a real cross ratio. The computer was a then state-of-the-art Mac IIcx; the computation was nevertheless time-consuming (several hours), and had to be repeated multiple times to be sure that those real cross ratios found were not a coincidence.

Along the way, I discovered other quadruples of special points apparently on circles. These involve more obscure triangle centres than the four on the Lester circle, so I noted them in Triangles III, but didn't look for a proof.

 

 How the theorem was proved

The idea of the proof is to show algebraically that the cross ratio of the triangle functions of the four points is real. Finding the functions themselves was a non-trivial process; calculating their cross ratio was horrendous. As motivation for such drudgery, it helps to have solid experimental evidence that what you're trying to prove is actually true. More practically, it also helps to have ways of simplifying cross ratio calculations, such as rearranging the order of the functions. Combined with the hindsight gleaned from doing the calculation in several different non-optimal ways, I eventually pared it down to the form that appears in Triangles III.

 


Lester circle:

Introduction

Constructions

The Circle

Point Order

Mathematics

Bibliography